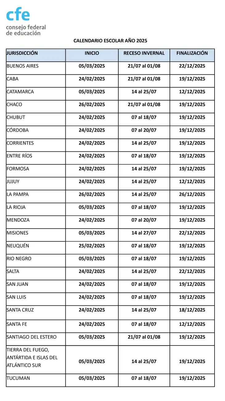
La Secretaría de Educación de la Nación, encabezada por Carlos Torrendell, señaló que, de acuerdo al cronograma del calendario escolar 2025, la provincia de La Pampa finalizará su ciclo lectivo el viernes 26 de diciembre. Tras la celebración de la Navidad, los alumnos locales terminarán el año académico de acuerdo a la normativa establecida por el Consejo Federal de Educación en todo el territorio nacional.
El esquema oficial busca que los estudiantes puedan cumplir los objetivos pedagógicos. Cada circunscripción define su cierre, siempre respetando el marco de los 190 días de clases.
Cuándo terminan las clases 2025 en la Argentina: provincia por provincia
El diseño del calendario escolar 2025 apunta a equilibrar los períodos de cursada, el receso invernal y los feriados nacionales. El territorio pampeano será el último en cerrar la actividad en las escuelas.

Cuándo terminará el calendario escolar 2025 provincia por provincia
Las primeras provincias que pondrán punto final al calendario escolar 2025 serán Catamarca, Jujuy y Santa Fe, el viernes 12 de diciembre.
El calendario escolar 2025 culminará cuatro jornadas antes, el 22 de diciembre en : Buenos Aires, Misiones y Salta. Por su parte, CABA, Chaco, Chubut, Córdoba, Corrientes, Entre Ríos, Formosa, La Rioja, Mendoza, Neuquén, Río Negro, San Juan, San Luis, Santiago del Estero y Tierra del Fuego terminarán las clases el 19 de diciembre.

Abren las preinscripciones para el ciclo lectivo 2026 en los niveles Inicial y Primario
Santa Cruz cerrará el ciclo lectivo el jueves 18 de diciembre y le dará paso a la temporada estival.
La resolución 484/24 del Consejo Federal de Educación considera como “día efectivo de clase” una jornada con un piso mínimo de 4 horas reloj de actividad pedagógica en la escuela. En caso de que no se cumpla con ese mínimo, deberán implementarse distintas “medidas de compensación” para garantizar “el cuidado de las trayectorias escolares”.
Cuándo termina el ciclo lectivo 2025 en cada provincia
Esa resolución se propone elaborar una “estrategia federal de seguimiento del cumplimiento efectivo” de los 190 días de clase. Además, retoma una serie de posibles medidas de compensación del tiempo escolar perdido que habían acordado los ministros en 2010, cuando establecieron la meta de 190 días.
PM/ff