Este viernes, la senadora de La Libertad Avanza, Patricia Bullrich, amplificó un posteo del sitio Chequeado que da cuenta de una investigación de OpenDemocracy, el medio de comunicación internacional especializado en periodismo de investigación, que confirma la existencia de una red de espías rusos que habría operado contra el gobierno de Javier Milei a través de la generación de fake news, sin firma o con firmas de periodistas inexistentes.
“Una serie de investigaciones periodísticas confirman lo que denuncié hace 6 meses: una red rusa operando para meter noticias falsas en medios y redes sociales contra el Gobierno de @JMilei”, señaló la exministra de Seguridad.

Y agregó: “Lo denuncié. Se rieron. Ahora está a la vista. Debe haber algunos preocupados hoy”.
Rusia rechazó acusaciones del Gobierno argentino sobre espionaje en la Casa Rosada
El informe citado por Chequeado se basa en “76 registros filtrados analizados por un consorcio de 7 medios”.
Según OpenDemocracy, a pocos meses de la asunción de Javier Milei, operadores vinculados a Rusia habrían desplegado maniobras de desinformación y presión política con el objetivo de afectar la imagen de su administración. La información surge de documentos filtrados a los que accedió un consorcio internacional de siete medios, entre ellos el portal africano The Continent.
El Presidente, que asumió en diciembre de 2023, se posicionó en la escena internacional con una agenda alineada con Estados Unidos y expresó su respaldo a Ucrania en el conflicto con Rusia. En el plano interno, instaló la consigna de la “motosierra” para definir su programa de ajuste estatal, acompañado por un discurso confrontativo hacia sus adversarios.
Putin recibió a los espías rusos con pasaporte argentino y les habló en español a sus hijos
En ese contexto de tensión política creciente, una estructura identificada como “La Compañía”, presuntamente respaldada por el servicio de inteligencia exterior ruso, habría intentado capitalizar la polarización existente. De acuerdo con los documentos, esta red operó en más de 20 países de África y América del Sur durante 2024, con acciones de propaganda y "operaciones de influencia".
Los archivos analizados —un total de 76— fueron obtenidos por The Continent y examinados junto a organizaciones como Dossier Center, iStories, All Eyes on Wagner, Forbidden Stories y FiltraLeaks, además de periodistas independientes de habla rusa.

Según ese material, la estructura llevó adelante relevamientos sobre el entramado político, sindical y económico argentino. También encargó encuestas, elaboró perfiles de figuras públicas, produjo informes sobre el complejo militar-industrial y evaluó recursos estratégicos como el petróleo en la Antártida. Entre sus objetivos figuraba, incluso, la posibilidad de respaldar candidatos opositores en las elecciones legislativas de 2025.
La principal línea de acción se concentró en la creación de “una red para la distribución de contenidos en los medios de comunicación argentinos y en el segmento local de las redes sociales”.
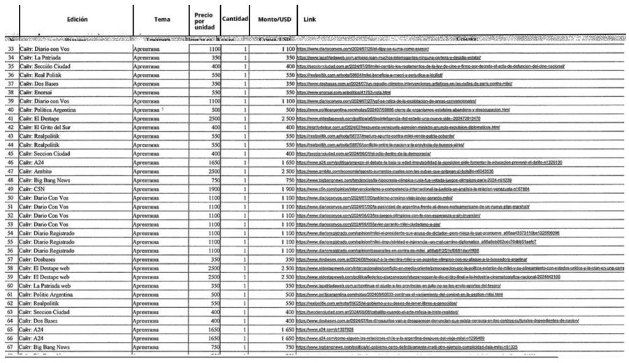
De acuerdo con la investigación, se registraron al menos 250 publicaciones —entre noticias, columnas y análisis— difundidas en más de 20 sitios digitales entre junio y octubre de 2024, con un presupuesto estimado en US$ 283 mil.
Los documentos, dirigidos a los responsables de la operación, también exhiben inconsistencias, como la duplicación de artículos en planillas internas para ampliar el volumen de actividad reportado.
En cuanto a los costos, aparecen tarifas que oscilan entre US$ 350 y US$ 3.100 por publicación. Sin embargo, no se pudo determinar el destino de esos fondos ni confirmar si los pagos se concretaron o si los montos fueron inflados.

Los contenidos difundidos incluyeron principalmente críticas a la situación económica, cuestionamientos al ajuste fiscal y referencias al impacto social de las políticas oficiales. En paralelo, varios textos incorporaron menciones favorables a Rusia y críticas hacia Estados Unidos, además de distorsiones y datos inexactos.
Los equipos periodísticos de OpenDemocracy, Forbidden Stories y FiltraLeaks contactaron a los medios mencionados en los documentos. Directivos y periodistas de 15 de ellos respondieron las consultas. La mayoría negó vínculos con financiamiento ruso y explicó que los artículos llegaron a sus redacciones a través de "intermediarios que se presentaban como agencias o consultoras". En algunos casos, reconocieron que el material se publicó sin controles editoriales estrictos.
Investigan la aparición de un drone en la terraza del Congreso: era de tres ciudadanos rusos
Todos los entrevistados manifestaron sorpresa por las cifras consignadas, en un contexto en el que los ingresos del sector periodístico se ubican por debajo de los US$ 700 mensuales.
Dos fuentes admitieron haber recibido pagos por la publicación de contenidos, aunque por montos inferiores a los señalados en los documentos. Ambas describieron esquemas similares de intermediación, vinculados a supuestos grupos empresariales con intereses afectados por decisiones del Gobierno.
El investigador del Conicet, Martín Becerra, analizó el fenómeno: “Es posible, pero no muy frecuente, que un redactor pueda colar publicaciones sin conocimiento de su editor. Y, si es cierto que esta red pagó más de 250 artículos, entonces es muy improbable que ningún editor o editora haya prestado atención al tema”.

Además, señaló: “La precarización de los medios, el relajamiento excesivo de la curaduría editorial y la consecuente permisibilidad de las empresas periodísticas habilita un entorno favorable a campañas de desinformación”.
Periodistas falsos y contenido fabricado en medios argentinos
Una cantidad importante de las "noticias" carecía de firmas o incluía autores inexistentes. En varios casos, los nombres correspondían a identidades ficticias o perfiles creados con imágenes generadas digitalmente.
Según los registros, el portal Realpolitik habría publicado 20 artículos con un costo de US$ 550 cada uno. Consultado por OpenDemocracy, su director, Santiago Sautel, sostuvo: “Publicamos columnas de opinión todo el tiempo”. Y agregó: “El origen de estas, en particular, lo desconocemos. Sí damos fe de que no se trató de ninguna maniobra non sancta cocinada tras bambalinas en una sede diplomática. Y si algunas de estas publicaciones se orquestaron en las sombras bajo algún interés puntual, lo desconocemos”
Entre las identidades detectadas figura Manuel Godsin, vinculado a contenidos sobre el conflicto universitario. El perfil incluía títulos académicos inexistentes y utilizaba la imagen de un ciudadano ruso. Investigaciones posteriores lo identificaron como una identidad digital utilizada en campañas de desinformación.
Miguel Ángel Toma: “Los cambios en la SIDE son un mamarracho”
Un informe del medio Code for Africa, basado en un reporte de OpenAI, lo definió como una “identidad ficticia”, creada para “blanquear narrativas rusas en los medios de comunicación convencionales”.
También se detectaron firmas como Gabriel di Taranto, Juan Carlos López y Marcelo Lopreiatto, asociadas a publicaciones en distintos portales. En varios casos, las universidades mencionadas negaron vínculos con esas personas y las imágenes utilizadas correspondían a bancos de fotos o software de generación digital.

Medios como Ámbito, C5N, A24.com y Diario Con Vos aparecen mencionados en los documentos con distintas cantidades de publicaciones y montos asignados. En la mayoría de los casos, sus responsables no respondieron consultas o rechazaron vínculos con las operaciones.
Una uruguaya de 97 años reveló que fue espía para Gran Bretaña durante la Guerra de Malvinas
Otros portales, como Big Bang News y Dos Bases, también figuran en los registros. Desde el primero negaron cualquier relación con financiamiento extranjero y señalaron que los contenidos fueron producidos internamente.
El portal El Grito del Sur reconoció la publicación de artículos críticos hacia el Gobierno, aunque negó haber recibido pagos. Su editor, Yair Cybel, sostuvo: “Nuestro medio respalda fervientemente a la Federación Rusa en su conflicto con Ucrania, a Palestina en el genocidio al que lo somete Israel y a Argentina en su reclamo por Malvinas. Nuestro comité editorial en plenitud anhela que las tropas rusas de Putin avancen hasta tomar Londres, y hará su humilde aporte comunicacional para que eso se concrete”.
Operaciones de desinformación en medios argentinos
Uno de los episodios analizados involucra una publicación sobre supuestos ciudadanos argentinos detenidos en Chile con material explosivo. La información nunca fue verificada.
Según los documentos, ese tipo de contenido formaba parte de una estrategia destinada a generar fricciones entre Argentina y Chile mediante la difusión de versiones no comprobadas.
El Destape publicó una nota con esa versión. La investigación la vincula con una narrativa que buscaba instalar la idea de operaciones encubiertas impulsadas por el gobierno argentino en territorio chileno.
La propaganda generada por IA: denuncian el uso masivo de deepfakes en el conflicto de Medio Oriente
Otros portales replicaron la información. Desde Osorno en Vivo, su editor Juan Luis Rubilar afirmó: “Alguien copió la nota y la puso en la web. No sabemos quién. No se recibió pago. Mil disculpas; si es falsa la podemos sacar de la web”.

Los documentos también mencionan propuestas de contenidos que no registraron publicación, como supuestos escenarios de conflicto bélico entre ambos países.
Otra línea de trabajo apuntó a la exposición de aspectos personales del presidente, como la relación con sus mascotas, mediante noticias destinadas a amplificar ese perfil.
Qué es “La Compañía” y su vínculo con inteligencia rusa
Los documentos establecen conexiones entre esta estructura, el servicio de inteligencia exterior ruso y el grupo Wagner, vinculado al empresario Yevgeny Prigozhin, fallecido en sospechosas circunstancias: su avión privado cayó el 23 de agosto de 2023 en la región de Tver, al norte de Moscú, tras criticar la invasión rusa de Ucrania en 2022.

Uno de los coordinadores fue identificado como Alexey Evgenievich Shilov, quien, según los archivos, tuvo a su cargo las operaciones en Argentina con el objetivo de afectar la política exterior del país.
En octubre de 2024, los documentos reflejan preocupación por el seguimiento de las autoridades argentinas. Allí se menciona la intención de intensificar contactos con sectores opositores a través de políticos locales.
Del boca en boca a las “fake news” de hoy
Meses más tarde, el Gobierno argentino informó la detección de una presunta red de agentes rusos involucrados en campañas de desinformación. Entre los señalados figuran Lev Andriashvili e Irina Yakovenko.
La entonces ministra de Seguridad, Patricia Bullrich, afirmó: “Recibimos información fehaciente sobre una campaña de desinformación rusa en contra de nuestro gobierno”. La denuncia de la actual senadora fue criticada y desestimada por distintos medios de comunicación y usuarios opositores de La Libertad Avanza en redes sociales.
Según FOPEA, ambos ciudadanos salieron del país tras la difusión de sus nombres y regresaron en octubre de 2025. Al momento de esta publicación, permanecerían en Buenos Aires.
Distinción entre fake news y deep fakes
En una respuesta a OpenDemocracy, Andriashvili negó cualquier vínculo: “Nunca hemos contactado a medios de comunicación, periodistas ni figuras políticas. Y no tenemos ninguna relación con la organización mencionada en su descripción. Tampoco se han presentado pruebas que respalden dichas acusaciones, simplemente porque no existen”.
El contexto geopolítico y el impacto político en Argentina
La llegada de Milei a la presidencia implicó un cambio en la política exterior respecto de la gestión de Alberto Fernández, que mantenía vínculos con Moscú. El nuevo gobierno invitó a Volodimir Zelensky a la asunción y se sumó al Grupo de Contacto para la Defensa de Ucrania, impulsado por Joe Biden.
Sin embargo, tras objeciones diplomáticas de Rusia, Argentina aclaró que no brindaría asistencia militar. En 2025, con Donald Trump nuevamente en el poder, el país modificó su posición en la ONU y se abstuvo en una votación clave sobre el conflicto.
De acuerdo con los documentos, además del presupuesto destinado a medios, se asignaron otros US$ 343 mil a tareas de inteligencia y operaciones en territorio.
Las cicatrices en las relaciones entre África y Europa
Becerra evaluó el impacto de estas acciones: “El resultado de esa inversión fue el opuesto al teóricamente pretendido. Lo que me hace dudar acerca de sus verdaderos propósitos”.
También señaló: “El Wagner Group, y en general las actividades de Putin en desinformación e inteligencia consisten en crear caos y desorden, generando un panorama de descrédito de instituciones legitimadas en el pasado, medios y periodistas incluidos”. Y concluyó que el objetivo es “pescar en río revuelto”.
Hasta el momento, las autoridades argentinas, la SIDE, la Cancillería, la Embajada de Rusia y los organismos señalados no respondieron a los pedidos de información realizados por OpenDemocracy.
NG